金母鸡量化教学场有效前言的应用

今天我们主要目的是介绍有效前沿这个理论工具和分析框架。由均值方差分析展开,逐步推演到有效前沿,以及有效前沿在投资或者量化中的应用场景,最后总结有效前沿的一些问题,尤其是敏感性问题。

金母鸡量化教学场有效前言的应用

说到有效前沿(有些叫效率边界),就要提到马科维茨的投资组合理论了。

首先介绍下它的三大假设:

1、单一投资期,比如一年

2、流动性很高,无交易成本

3、投资者的选择基于最优均值方差

于是,我们可以开始推导有效前沿,在这之前,我们先约定一些数学符号:

  • $r_{f}$:无风险利率
  • $\boldsymbol{\mu}$:风险资产预期收益率向量
  • $\boldsymbol{f}$:风险资产预期超额收益率向量
  • Ε:风险资产协方差矩阵
  • W:风险资产组合权重向量

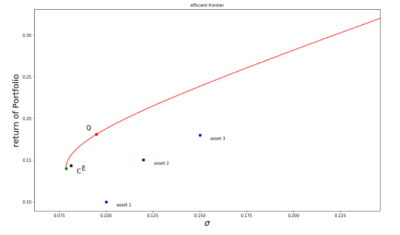
有效市场前沿采用三个步骤,分别是最小方差组合、最优均值方差组合(夏普组合)以及有效前沿。

在下面模拟了三个风险资产,并用python画出了有效前沿曲线。下图标注了最小方差组合(C组合)、最优夏普组合(Q组合)以及全额等权组合(E组合)。

金母鸡量化教学场有效前言的应用

有效前沿曲线告诉我们,在全额投资的条件下,所有基于风险厌恶型的投资者都应该选择有效前沿曲线上投资组合,它们是均值方差最优的。那么这个理论工具怎么能够帮助我们做投资决策呢?

首先我们应用这个理论工具的基本条件是要有市场中所有风险资产或者可投资风险资产的预期收益率和预期协方差矩阵。但是这个可能就是最大的问题,怎么定义预期收益率和预期协方差矩阵?如果用一致预期(基于券商分析师的调查)代表市场对某风险资产的预期的话,并不是所有风险资产都能够有一致预期数据,另外也不太可能有一致预期协方差吧。还有一种解释,就是基于个人投资者的预期或者信念,这种方式和一致预期一样,至少都假设预期或者预测是无偏的或者很小,实际中难以做到,同时对于庞大的协方差矩阵也没有办法。那么,最后就只剩下用历史数据经验估计了,这也带来了一定的问题,股票市场是动态的,历史不一定代表未来;这还不是最大的问题,最大的问题是当估计协方差矩阵时,在实际中往往超出了我们的计算能力,而且估计所带来的误差也让后验协方差矩阵失去意义。

当我们开发一个策略时(为方便分析,这里的策略假设投资决策都是固定投资期,比如一年或一个月换仓),一般都会有预测模型,对每一次资产标的做收益预测,然后可能会全额等额购买top10,或者根据一个固定的仓位规则。

金母鸡量化教学场有效前言的应用

然而,有效前沿告诉我们,这种策略往往不是最优的,哪怕你的预测模型做得再好。在均值方差的框架下,你应该根据你的预测收益向量和协方差估计(往往基于后验统计),选择位于有效前沿上的组合。尤其是在有一些证券池数量不多的策略中,这种资产配置方法是实际可行的。

下面的实验中,模拟了三组风险资产,他们的收益率和价格序列可以从上面两个图中看到。这三个资产只知道他们的收益率和价格,其他的都不可观测。然后有一个预测模型,那就是下一个周期的预测收益率等于近20期的平均值,即20期滑动平均,同时在图中添加了预测值和95%的置信区间。

这个策略就是全额等额买入预测收益率前50%的资产,在这个例子里就是排名前两个的资产,实际上这是一个完整的策略,有预测模型、选股模型以及仓位策略。在下左图,画出了这个场景下的有效前沿,其中黑色的点就是我们的策略组合(S组合),可以看到它并不在我们的有效前沿上,并且是否位于有效前沿,和预测模型没有关系,完全取决于组合管理,或者说就是头寸策略。右下图更能说明这一点,这个策略向后模拟100个时间周期,并模拟了200次循环,从而得到关于S组合与Q组合的夏普比率分布,从这个箱型图中可以看到Q组合的夏普比率明显高于S组合。

金母鸡量化教学场有效前言的应用

基于前面那个案例的预测有效前沿做了一个蒙特卡洛模拟从而得到的后验分布。根据之前的资产收益率和协方差的估计,作为风险资产的后验分布,然后根据资产后验分布模拟得到一组序列,并通过这组序列得到有效前沿样本集。

有效前沿模拟样本分布在一个较“宽阔”的区间,这个估计误差会对我们的投资决策产生什么样的重要影响呢?从下图观察到,它们共同的特征是在估计方差上的离散程度远大于估计收益率的离散程度。而Q组合最终要的性质莫过于与CML资本市场线相切,不用可视化也能看出来将会对CML曲线造成非常大的影响,即CML对Q组合非常敏感。

金母鸡量化教学场有效前言的应用

基于有效前沿做组合优化,选择有效前沿上的资产组合仍然是一个明智的选择。因为不管有效前沿有多敏感,估计误差已经深入到资产预测与资产配置的整个流程当中,抛弃或偏离有效前沿工具并不能缩小估计误差,并且偏离有效前沿的组合会在概率意义上始终劣于有效前沿上的组合。

发布者:股市刺客,转载请注明出处:https://www.95sca.cn/archives/78084
站内所有文章皆来自网络转载或读者投稿,请勿用于商业用途。如有侵权、不妥之处,请联系站长并出示版权证明以便删除。敬请谅解!

(0)
股市刺客的头像股市刺客
上一篇 2024 年 7 月 12 日
下一篇 2024 年 7 月 15 日

相关推荐

发表回复

您的电子邮箱地址不会被公开。 必填项已用 * 标注