金母鸡量化教学场不完美法则DCF估值法

今天来认识了解一下DCF估值法。

金母鸡量化教学场不完美法则DCF估值法

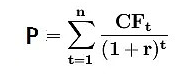
理论上,所有的资产价格,都应该等于它的未来的现金流折现到今天的现值。所以DCF估值法,适用于所有的资产估值,无论是股票还是债券。即:

金母鸡量化教学场不完美法则DCF估值法

实际中,DCF估值法建立在各种假设之上,所以只能模糊预估资产价格,千万不能把DCF算出的价格当作确切值,因为你的假设和现实世界总归是有差距的。要根据已知的信息,不断调整模型。随着信息越来越多,模型也越来越准确。

一般在股票中,我们常用的是二段式DCF,将公司模型简化,即公司高速增长一段时间,比如10年,接着以缓慢的速度,随着社会通胀永续增长下去。

DCF的估值即等于第一阶段的现值+永续阶段的现值。第一阶段的现值,我们算出每一期的现金流,然后折现到今天。

永续阶段的现值,有现成的计算公式。即:

金母鸡量化教学场不完美法则DCF估值法

以某白酒股份为例,来进行一个DCF的计算。

金母鸡量化教学场不完美法则DCF估值法

图中黑框即为输入值,绿色为DCF值。

折现率设置为8%,即长期年化收益率为8%。

第一阶段,假设增速为12%,持续10年。

永续阶段,假设增速为5%。因为白酒类提价能力远远高于社会通胀,因此取5%作为假设值。

初始现金流。这里取的是3,即2019年公司的分红。用分红来作为现金流,比较保守,算出的DCF值会偏低一点。也有人叫DDM估值法,DDM是DCF估值法的一种。

计算出的DCF为187.90。

金母鸡量化教学场不完美法则DCF估值法

它的含义是:某白酒股份的分红未来每年以12%的增长速度增长,维持10年,10年后每年5%速度增长,永续下去。以187.9的价格买入,每年的收益率为8%。

因为对增速的假设,往往和实际有偏差,因此我们在下面算出了一个矩阵,来考虑折现率情况下,不同增速的DCF。

某白酒股份现价为180元,可以在矩阵中,大致比较,未来公司需要维持多高的增速,大致的收益率落在一个什么样的区间。

调整初始现金流,折现率,第一阶段,永续阶段增速,就可以自己来对不同的股票,进行DCF计算了。

发布者:股市刺客,转载请注明出处:https://www.95sca.cn/archives/68220
站内所有文章皆来自网络转载或读者投稿,请勿用于商业用途。如有侵权、不妥之处,请联系站长并出示版权证明以便删除。敬请谅解!

(0)
股市刺客的头像股市刺客
上一篇 2024 年 7 月 8 日
下一篇 2024 年 7 月 8 日

相关推荐

发表回复

您的电子邮箱地址不会被公开。 必填项已用 * 标注