现实世界中的一些业务应用示例包括图像处理,医疗诊断,金融服务和欺诈检测。此样本说明如何使用SAS®In-Memory Statistics中的NEURAL语句来构建人工神经网络模型来识别垃圾邮件。该示例中使用的数据集是机器学习存储库中的经典Spambase数据集。请注意,SAS®内存中统计信息具有直接将数据直接从URL加载到内存中的功能,而无需保存到磁盘,如示例所示。该示例还演示了如何执行以下任务:
1.对从不同点开始的几个“浅”神经网络进行预训练,以避免创建由于初始权重差而无效的神经网络。
2.从预训练的神经网络中选择最佳的神经网络,然后继续分析以训练更深的神经网络作为最终模型。
3.使用最终的神经网络模型对验证数据集评分。
4.使用评分结果和ASSESS语句执行模型评估。
5.根据ASSESS语句的结果绘制升力和ROC曲线。
data mylasr.spambase;
infile "&base/spambase/spambase.data" device=url dsd dlm=',';
input Make Address All _3d Our Over Remove Internet Order Mail Receive Will People Report Addresses Free Business Email You Credit Your Font _000 Money Hp Hpl George _650 Lab Labs Telnet _857 Data _415 _85 Technology _1999 Parts Pm Direct Cs Meeting Original Project Re Edu Table Conference Semicol Paren Bracket Bang Dollar Pound Cap_Avg Cap_Long Cap_Total Class;run;proc imstat;1.从不同点到预训练几个“浅”神经网络,避免创建因初始值不佳而无效的神经网络。
/*input */ input=(make--cap_total) std=std
/*target*/ targetact=softmax targetcomb=linear error=entropy nominal=class
/*hidden*/ hiddens=(10) act=(logistic) combine=(linear)
/*prelim*/ numtries=5 maxiter=10 tech=congra
/*NLOP */ maxfunc=1000000 linesearch=2 fconv=1e-4 lower=-20 upper=20;
2.从预训练的神经网络中选择最佳的神经网络,然后继续分析以训练更深层的神经网络作为最终模型。
/*NLOP */ maxfunc=1000000 linesearch=2 fconv=1e-4 lower=-20 upper=20;
3.使用经过训练的神经网络模型对分数进行验证。 ASSESS选项指定为所有级别的得分数据添加预测概率标称目标变量。 在此示例中,创建了两个级别,因为名为class的变量具有两个值0或1。计分的数据为存储在临时表中。
input = (make--cap_total) nominal=class temptable assess vars = (class);
4.使用评分结果执行模型评估。 所有级别的概率都在输出中,但是我们仅需要事件级别的概率。 WHERE子句仅用于选择具有事件级别的行。 剥离功能适用于删除字符变量_NN_Level_中的空格。
5.根据ASSESS语句的结果绘制升力和ROC曲线。
proc sgplot data=rocdata;
series x = one_minus_Specificity y = Sensitivity / lineattrs=(color=blue);
series x = one_minus_Specificity y = one_minus_Specificity / lineattrs=(color=black);
yaxis grid;
run;
quit;
该模型信息表

分数信息表
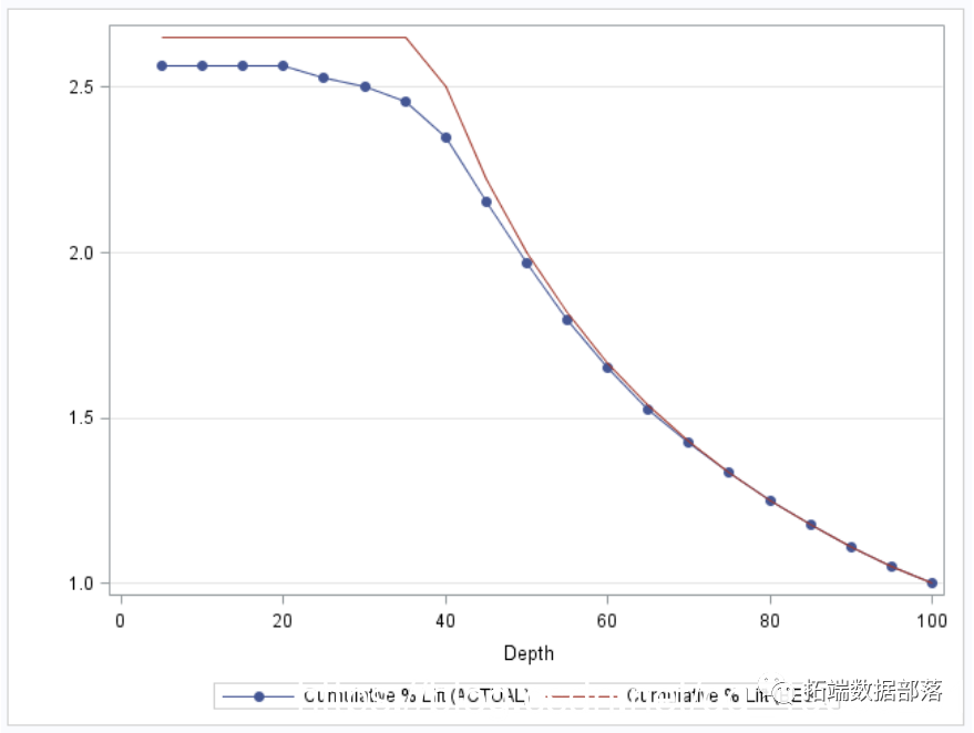
提升曲线
ROC 曲线

发布者:股市刺客,转载请注明出处:https://www.95sca.cn/archives/109266
站内所有文章皆来自网络转载或读者投稿,请勿用于商业用途。如有侵权、不妥之处,请联系站长并出示版权证明以便删除。敬请谅解!