3.  for(j in 1:N_SIMULATIONS)
    
5.  {
    
10.      npo = c(newYields, oldYields)
    
12.      plot(MATURITY_BASES, oldYields, ylim=c(min(npo), max(npo)))
    
14.      lines(MATURITY_BASES, oldYields)
    
16.      points(MATURITY_BASES, newYields, col="red", pch=4)
    
18.      points(newMATs, newNsYields, col="blue")
    
20.      lines(newMATs, newNsYields, col="blue")我们要做的是:从一些收益率曲线开始,然后逐步地随机修改收益率,最后尝试NS模型拟合新的收益。因此我们对此进行了模拟。

对于Nelson-Siegel模型,此Monte-Carlo模拟尽管假定前一步的收益(旧收益率) 与NS曲线_完全_匹配。但是,即使如此也无法完全避免麻烦。我们如何发现这些麻烦?在每一步中,我们计算两条相邻曲线之间的最大距离(supremum-norm):
maxDistanceArray[j] = max( abs(oldYieldsArray[j,] - newNsYieldsArray[j,]) )最后,我们找到到上一条曲线的最大距离的步骤,这就是收敛失败的示例。
_maxDistanceArray_的概率密度 如下所示:
分布尾部在0.08处减小,但对于收益率曲线而言,每天偏移8个点并不罕见。因此,尽管我们进行了1e5 = 10000蒙特卡洛模拟,但只有极少数情况,我们可以将其标记为不良。训练神经网络绝对是不够的。而且,两条Nelson-Siegel曲线可能彼此非常接近,但其参数却彼此远离。由于模型是线性的, 因此可以假设beta的极大变化(例如,超过95分位数)是异常值,并将其标记为不良。
 3.  idx = intersect(intersect(which(b0 < q_b0), which(b1 < q_b1)), which(b2 < q_b2))
    
5.  par(mfrow=c(3,3))
    
7.  plot(density(log(b0)))
    
9.  plot(density(log(b1)))
    
11.  plot(density(log(b2)))
    
13.  plot(density(log(b0[idx])))
    
15.  plot(density(log(b1[idx])))
    
17.  plot(density(log(b2[idx])))
    
19.  plot(density(b0[idx]))
    
21.  plot(density(b1[idx]))
    
23.  plot(density(b2[idx]))
    
29.  b0 = b0-mean(b0)
    
31.  b1 = b1-mean(b1)
    
33.  b2 = b2-mean(b2)
    
37.  #训练神经网络
    
39.  X = cbind(b0, b1, b2)
    
41.  Y = array(0, dim=(N_SIMULATIONS-1))
    
43.  Y[idx] = 1
然后我们可以训练神经网络
1.  SPLT = 0.8
    
3.  library(keras)
    
5.  b = floor(SPLT*(N_SIMULATIONS-1))
    
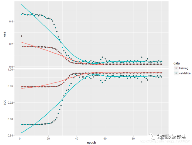
14.  plot(history)
    
16.  model %>% evaluate(x_test, y_test)
    

神经网络不仅在样本而且在验证集上都提供了高精度。
如果模拟新数据集,对模型进行修改  :例如修改VOLAs = 0.005*sqrt(MATURITY_BASES) 到  VOLAs = 0.05*sqrt(MATURITY_BASES) 将无法识别新数据集上的不良情况。
不足与展望:尽管我们在两种情况下均对数据进行了归一化和平均化,但是模型波动性的线性变化对尾部分位数具有很高的非线性影响。
那么,我们是否需要一个更复杂的AI模型?
发布者:股市刺客,转载请注明出处:https://www.95sca.cn/archives/109115
站内所有文章皆来自网络转载或读者投稿,请勿用于商业用途。如有侵权、不妥之处,请联系站长并出示版权证明以便删除。敬请谅解!
 
