克里斯托弗·刘易斯(Christopher Lewis)是一位出生于美国本土地地道道的外汇交易员,他喜欢交易的品种非常广泛,从传统的欧元/美元到偏门货币对美元/卢布,可以说他是一位不拘一格的交易员。
刘易斯是一位技术能力非常强的交易员,同时也深谙外汇与期货市场基本面分析。他擅长使用日图或周图交易,而不会使用更短的时间轴作为参考,这使得他的市场预测更适合所有时区的交易员。刘易斯目前也是众多海外知名外汇网站的签约分析师,这足以证明他的交易能力和对外汇的深刻认知。




加特利谐波形态(Gartley Harmonic Pattern)是交易最多的谐波形态之一,该形态可以用在很多市场和时间周期。谐波模式完全基于菲波纳奇回撤位,这是一种强大而可靠的交易技术。
但是,要想谐波形态可靠有效,还需要你像探究其他交易技术或交易策略一样去不断测试,这不仅仅只靠鼠标单击“买卖”即可。比如,你需要了解这个交易策略的背后逻辑是什么,它的弊端及优点又是什么。
与其他外汇策略一样,它需要依赖于价格图表,即你需要了解交易图表上发生的情况,以及通过谐波形态发现做多或做空的机会,有机会获得最大的盈利。

文/ Vladimir Ribakov 拥有14年交易经验的全职交易员
在本文中,我将与你分享“以最高精准度交易加特利谐波形态的方法”。
加特利谐波形态
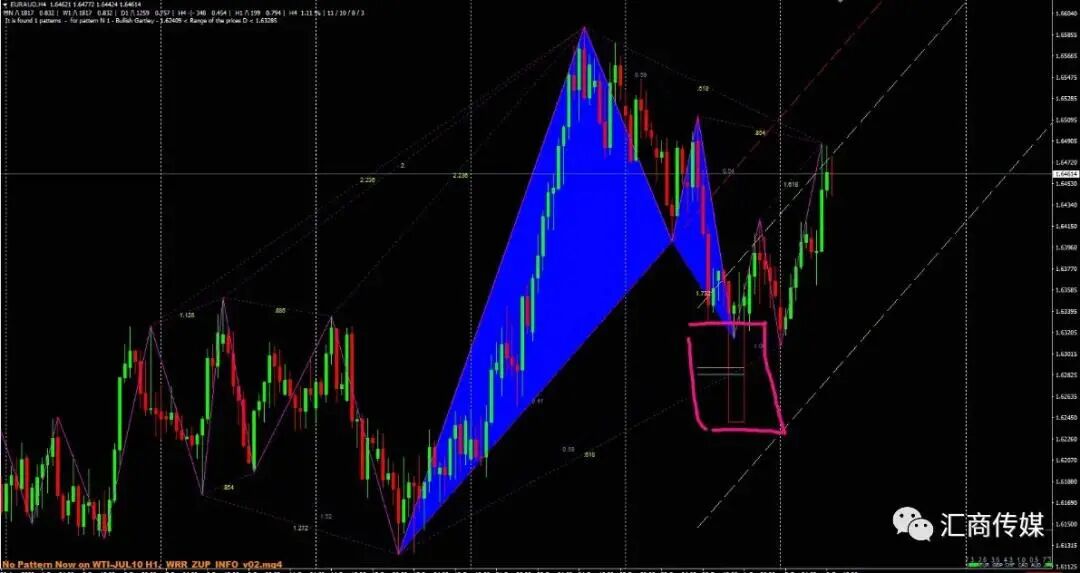
下图RURAUD 4小时图中,我们发现加特利谐波形态,同时在图表关键区域用粉红色方框做了标记。当下,该区域发挥着重要作用,我们需要做的最重要的事情就是应用技术分析。

为何必须在此处应用技术分析?
通过进行技术分析,你可以在分析当下的市场状况,并查看谐波模式发现高精准的买入或卖出机会的可能性很大。用简单直白的话说:在明显的看涨趋势中,你不想仓促卖出,在明显的看跌市场中,你不想仓促买入。顺应趋势将为你带来更好的盈利概率。
技术分析可以帮助你分析“全局”并清晰地找到趋势所在,以及强劲水平和高精准的交易机会。
如何应用技术分析?
分析交易图表有很多方法。我个人喜欢以一种特定的方法来分析图表,这有助于我在图表中找出“出色”的交易机会和关键区域。
为了帮助你理解这一点,我将举一个交易案例(EURAUD看涨趋势)。下面图中,你可以看到我的交易观察列表。这个列表是我每天与其他交易者分享的交易机会。

让我们从4小时图表开始技术分析,因为在4小时时间框架内发现了加特利谐波形态。在4小时图表上,我发现了一些“腿”(Lags)沿着一个方向(向下)显示。同时我们可以看到价格正面临关键支撑区域,并且我从该区域上看到指标显示看涨的迹象。

从图表中的MACD指标和移动均线可以看出,指标出现了明显的看涨背离。

这个是个好的信号,从这一刻起,价格反弹的可能性非常大。

我下一步要做的是,查看更低时间周期的图表(1小时或15分钟),然后寻找趋势图。观察下面15分钟图,我们可以看到价格创出了三个更高的高点(HH),一个更高的低点(HL),这很清晰地暗示了看涨趋势的模式。

为什么要寻找更高高点、更高低点
这是因为在看涨趋势或看涨市场中,多头设法创出更高高点(HH)和更高低点(HL),这代表了市场看涨的力量以及市场处于多头控制之中。
因此,在发现这一点后,我会寻找回撤以增加交易机会,使得风险回报率更高,然后进一步提高。
我一直在寻找价格回调,然后叜这里应用了相同的看涨背离观点。这次我们看到图表上MACD和RSI指标存在看涨背离,如下图所示:

最好的情况是,在一个看涨趋势模式下出现超过三个更高高点和更高低点,之后出现了看涨背离。此外,价格上涨已经突破了阻力区,该阻力区已变换角色成为支撑区域,随后这里将成为一个“清算区域”,因为这里会有很多止损被触发。

此外,我们看到200日均线,在这里可以看做动态支撑。

基本上,所有这些都汇集到一个大的清晰平台之上,自上而下的多时间框架分析,形成一个看涨趋势的加特利谐波形态,这种趋势模式对我们有利。这意味着从这一刻起,我可以入场做多,通常此举可以带来大于1:1的风险回报率。

结论
如你所见,我们的目标非常简单,即在图表上找到尽可能多的看涨形态,以便以最精准的水平交易加特利谐波形态。为此,我进行了多重时间框架分析,并确保有支撑我在本案例中看涨观点的事实或依据。
坦率地说,谐波形态不是我默认的交易风格,尤其对于短线交易而言。我不是那些谐波形态形成之后盲目入场交易的交易者,我喜欢应用技术分析,看到形态朝着我希望交易的方向发展,并了解其中背后的逻辑。
汇商小贴士:
关于加特利形态

加特利形态来源于5-point回撤结构,最初由H.M. Gartley发现并进一步由Scott Carney详细定义。它对其结构中的每个点都有特定的斐波那契测量值,需要注意的是D点并不是一个固定的点,而是一个价格可能反转的区间,被称为潜在反转区(PRZ)。B点是XA段的0.618回撤,PRZ是由3个谐波水平位组成:1) XA短多0.786回撤,2) AB = CD形态,3) BC段的1.27或1.618映射。
第一目标为AD的0.382回撤,第二目标为AD的0.618回撤。常用的止损位在X点下方。保守的交易者可能寻找其他的确认。这个形态可以看涨也可以看跌。

在图表交易中,当你观察到连续两个十字星烛台出现时,可以使用“双十字星外汇突破交易策略”。这是一个非常简单的价格行为(Price Action)交易策略。
十字星(Doji)是最常见的一种烛台信号形态之一,表示市场趋势处于胶着中,多空双方力量达到势均力敌状况,价格开始寻找方向。十字星犹如街道上的十字路口,若能辨识出有效的十字星并掌握方法,交易者便可以将盈利最大化。
事实上,在使用双十字星交易策略时,你并不需要在乎市场下跌还是上涨,因为十字星形态后往往出现强烈的趋势,无论何种方向,你只需要抓住突破即可,你要做的就是将多空止损订单设置好,以捕捉突破的到来。
- 时间框架:4小时 
- 
货币对:任意 
- 
烛台形态:十字星 
- 
交易指标:无需 
交易规则

1. 观察到交易图表上出现两个连续的十字星烛台;
2. 接下来,标注两个十字星上下边界的高低;
3. 等待第三个烛台收盘;
4. 如果第三个烛台的收盘价高于十字星的上边界水平,则入场做多,并将止损设置十字星低点下方2-3个点,或者设置在第三个烛台下方2-3个点;
5. 如果第三个烛台收盘价低于十字星下边界水平,则可做空,并将止损放在十字星高点上方2-3个点,或者设置在第三个烛台上方2-3个点;
6. 对于盈利目标,多单可以设置在前期波动高点,空单放在波动低点,或者将止盈目标设置为止损风险的三倍。
诸如前述所言,双十字星是多空力量势均力敌之时,这种形态一般会出现突破。保守的交易者可以等待双十字星形成后的即刻上涨或下跌入场。
我们再来看一个案例,下图是GBP/ZAR图表,入场点可以在位于双十字星的低点下方,而止损可以设置在双十字星的高点上方。

策略优势
这是一种基于价格行为非常简单的交易系统。
当交易按预期进行时,若能精准捕捉价格突破,你可以在突破后轻松获得数百点盈利。
策略缺点
这种交易设置可能不会经常发生,因此你需要大量观察货币对图表走势,以确保你掌握并确认这种形态的设置。


- 当价格触及阻力并向下回撤时,位置#1成为最高点;
- 位置#2成为最低点(形成支撑),价格上涨;
- 在位置#3找到另一个阻力;
- 当价格跌破位置#2支撑时,表明市场下跌趋势将持续。



发布者:股市刺客,转载请注明出处:https://www.95sca.cn/archives/108020
站内所有文章皆来自网络转载或读者投稿,请勿用于商业用途。如有侵权、不妥之处,请联系站长并出示版权证明以便删除。敬请谅解!
 
