多元时间序列预测的一个基本假设是,其变量相互依赖。
在本文中,我们专门针对客户的多元时间序列数据设计了神经网络框架,拟合单隐层神经网络,可能存在跳跃层连接。
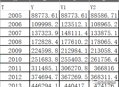
查看数据

其中Y为因变量,时间、Y1、Y2为自变量。
读取数据
data=read.xlsx("my data.xlsx")  
  
head(data)

建立神经网络模型
建立单隐藏层神经网络,size参数可以确定隐藏层的节点数量,maxit控制迭代次数。
require(nnet)
## Loading required package: nnet
 #设置因变量  
  y=data$Y  
#  y<-data.frame((y-min(y))/(max(y)-min(y)))  
 names(y)<-'y'

绘制拟合数据

预测未来的20年数据
foreY1=0        foreY1=predict(mod2,data.frame(T=foreyear)  )预测新变量
datanew= data.frame(T=foreyear,Y1=foreY1,Y2=foreY2)
绘制未来20年的时间序列
pre=ts(pre,start = c(2015),f=1)
 
###############################绘制未来20年的时间序列
plot(pre, axes = F,col=2,type="l")
axis(side = 1 ,col=10)

发布者:股市刺客,转载请注明出处:https://www.95sca.cn/archives/109170
站内所有文章皆来自网络转载或读者投稿,请勿用于商业用途。如有侵权、不妥之处,请联系站长并出示版权证明以便删除。敬请谅解!
 
